Die Paternò-Büchi-Reaktion ist eine nach Emanuele Paternò und George Hermann Büchi benannte photochemische [2 2]-Cycloaddition zur Bildung von viergliedrigen Oxetan-Ringen aus einer Carbonyl-Komponente und einem Alken.
Übersichtsreaktion
Im Beispiel reagiert Aceton mit 2,3-Dimethylbut-2-en unter Lichteinwirkung zum Hexamethyloxetan (1):
Die Substituenten am Alken und der Carbonylkomponente bestimmen die Stereochemie der Produkte, so entsteht bei der Reaktion von Benzaldehyd (Ph = Phenylrest) mit 2-Methylbuten ein Gemisch der beiden strukturisomeren Oxetane 2a und 2b:
Mechanismus
Die Reaktion wird durch Bestrahlung mit langwelligem UV-Licht, die nur die Carbonylverbindung anregt, initiiert. Die Carbonylverbindung (Aldehyd oder Keton) reagiert mit dem Alken konzertiert oder über eine Diradikal-Stufe. Olefine mit elektronenziehenden Substituenten bevorzugen einen konzertierten Mechanismus, während Donor-Substituenten einen radikalischen Mechanismus begünstigen, wobei die Diradikale über Abfangreaktionen nachgewiesen werden können.
Anwendung
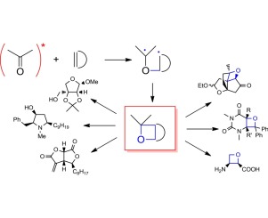
Die Reaktion wird in der Naturstoffsynthese eingesetzt, hat aber wegen der oft geringen Selektivität nur begrenzte Bedeutung.
Literatur
- E. Paternò, G. Chieffi: Sintesi in chimica organica per mezzo della luce. Nota II. Composti degli idrocarburi non saturi con aldeidi e chetoni. In: Gazz. Chim. Ital., 39, 1909, S. 341–361.
- G. Büchi, Charles G. Inman, and E. S. Lipinsky: Light-catalyzed Organic Reactions. I. The Reaction of Carbonyl Compounds with 2-Methyl-2-butene in the Presence of Ultraviolet Light. In: Journal of the American Chemical Society. 76. Jahrgang, Nr. 17, 1954, S. 4327–4331, doi:10.1021/ja01646a024.
Einzelnachweise
Weblinks
- The Mechanism of the Paterno-Buchi Reaction and its Application in the Organic Synthesis Review
- Mechanismus der Paterno-Buchi-Reaktion auf organische-chemie.ch




